Photonic Dirac cone is a special kind of degenerate state with linear dispersion, which is ubiquitous in various two-dimensional photonic crystals. By introducing spatial inversion symmetry breaking, photonic Dirac cone will transit to valley states. Correspondingly, photonic nodal ring is a kind of energy band degeneracy that exists in three-dimensional structure, and it appears as a closed ring in the energy band. By introducing symmetry breaking, the nodal ring can transit to ridge states. Compared with the valley state, the ridge state has more abundant optical behaviors, such as negative refraction and surface-dependent Goos–Hänchen shift. However, the complex three-dimensional structure hinders the realization in optical region, and even further to obtain novel functional photonic devices. Therefore, how to realize the ridge state by a simple optical structure has become an urgent problem to be solved.
Prof. Jianwen Dong's team of the School of Physics at Sun Yat-sen University realized an ideal nodal ring by creatively taking into account the momenta along non-periodic directions, and utilizing rotational symmetry of the one-dimensional photonic crystal (Fig. 1(b)). The research team prepared samples using inductance coupled plasma-enhanced chemical vapor deposition (ICP-CVD). By measuring angle-resolved reflectance spectra in the wavelength range of 500-1100 nm, they confirmed the existence of the nodal ring (Fig. 1(c)).
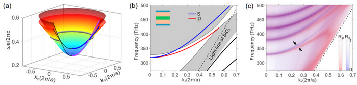
Further, by breaking the spatial inversion symmetry of the structure, the nodal ring degeneracy transits to a ridge state with a bandgap. They predicted the existence of topologically protected interface states in this bandgap by calculating the topological invariant. Using the low-loss silicon-rich nitride film growth process developed in the same team, they fabricated the sample and observed the interface states by measuring the angle-resolved reflectance spectrum in the wavelength range of 600-1100 nm.
Besides, the research team revealed the intrinsic relationship between optical Tamm state and nodal ring. Optical Tamm state is a kind of surface state that may exist at the interface of one-dimensional photonic crystal and the metal. The research team found that there must be optical Tamm states at the interface of metal and the nodal ring photonic crystal, which provides theoretical guidance for deterministic design of optical Tamm states. The research team deposited a silver film on the surface of the nodal ring photonic crystal using the electron beam evaporation method. The existence of the optical Tamm states was confirmed by measuring the angle-resolved reflectance spectra in the wavelength range of 600-1000 nm.
This work paves the way for realizing optical phenomena such as negative refraction of surface states and surface-dependent Goos–Hänchen shift in the optical region. Furthermore, nodal ring can also transit to Weyl point degeneracy by introducing other types of symmetry breaking. Therefore, the one-dimensional nodal ring photonic crystal proposed in this work provides the possibility to explore the applications of Weyl point and its associated topological surface states in micro-nano optics.

Figure 1. (a) Ideal nodal ring in the one-dimensional (1D) photonic crystal. (b) Calculated and (c) measured surface states in the bandgap of the ridge photonic crystal.
This paper has been published in Light: Science & Applications with the title of “Ideal Nodal Rings of One-Dimensional Photonic Crystals in the Visible Region”. Postdoc Weimin Deng is the first author, and Prof. Wenjie Chen and Prof. Jianwen Dong are the corresponding authors. This work was supported by the National Natural Science Foundation of China, Guangdong Basic and Applied Basic Research Foundation, Natural Science Foundation of Guangdong Province, Guangzhou Science, Technology and Innovation Commission and Fundamental Research Funds for the Central Universities.
Link to the article: https://www.nature.com/articles/s41377-022-00821-9