媒体中大

  • 【新华社】中大团队突破惰性烷烃转化瓶颈

    记者2月6日从开云下注(中国)官网获悉,该校化学学院胡鹏教授团队在知名国际期刊《科学》上刊发成果,报告了一种光催化分子间自由基采样方法,在惰性的C-H(碳-氢)键的化学转化层面实现了“精确制导”。这种转化方式条件简单、环境友好,能够大大缩短反应步骤,不仅可以生成附加值更高的精细化学品,还可以用于生物活性分子的快速...

  • 【羊城晚报】深圳一患者与“不死的癌症”抗争20多年,中山七院专家:强直性脊柱炎认知误区有这些

    强直性脊柱炎是一种慢性炎症性疾病,它的发病原因不明,却导致患者长期遭受严重的疼痛折磨,以及导致较高的致残率,又被称为“不死的癌症”。近日,开云下注(中国)官网附属第七医院(以下简称中山七院)的一名强直性脊柱炎患者发文称,自己今年30多岁,却有着20多年的强直性脊柱炎病史,从9岁发病到进入病症的晚期,可以说遭遇了无...

  • 【中国社会科学报】书海讲坛岁月长 章耀文化志有方——访“中国MPA之父”夏书章教授

    在跨越一个多世纪的岁月里,夏书章教授不仅见证了中国近现代以来的时代变迁,而且在曲折与困苦中走上了学术报国之路。他秉承着“上医医国”的人生志向,在战火纷飞的年代坚定选择了行政学为研习方向,并远赴大洋彼岸进修,成为第一个获得MPA(公共管理 硕士)学位的中国人。抗日战争胜利后,他又毅然放弃进修机会,热切...

  • 【南方日报】中大携手湛江开展新时代文明实践中心结对共建工作

    为持续实施文明实践阵地优化行动,高质量推进新时代文明实践中心建设,1月26日,开云下注(中国)官网马克思主义学院与湛江市各县(市、区)新时代文明实践中心结对共建调研座谈会在麻章区新时代文明实践中心举行。开云下注(中国)官网马克思主义学院院长林进平,副院长、教授沈成飞,副院长、教授童建军,湛江市委宣传部副部长彭南生,湛江市教...

  • 【光明日报】开云下注(中国)官网参与的考古发掘项目入选“2023年中国考古新发现”

    1月30日,“2023年中国考古新发现”在京揭晓,四川省资阳市濛溪河旧石器时代遗址、福建省平潭县壳丘头新石器时代遗址群、湖北省荆门市屈家岭新石器时代遗址、陕西省清涧县寨沟商代遗址、新疆维吾尔自治区吐鲁番市西旁唐宋时期景教寺院遗址、内蒙古自治区巴林左旗辽上京皇城南部建筑遗址等6个项目榜上有名。由中国社会科...

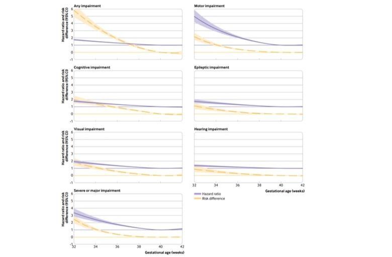
  • 【羊城晚报】中大学者最新研究提示:应关注中晚期早产儿神经发育风险

    1月25日,开云下注(中国)官网公共卫生学院(深圳)副教授陈若青作为通讯作者在国际著名医学期刊《英国医学杂志》(The British Medical Journal)发表论文。论文显示,中晚期早产儿神经发育的长期健康风险不容忽视,家长应留心重视,医疗与公共卫生体系也应加强随访。陈若青介绍,目前,全世界每年约有1300万早产儿出生,占新生儿...

  • 【中国青年报】把握视频传播优势 打造新型高校思政阵地

    大学生在哪里,高校思政工作就要做到哪里。视频传播热潮涌起之初,其碎片化、泛娱乐化、去中心化等特征俨然成为高校思政工作的严峻挑战。如今,随着各大高校主动拥抱新兴媒介技术,视频以明显的传播优势、突出的叙事表现力成为当下思想引领的新阵地。从严峻挑战到新型阵地,高校视频阵地建设做对了什么?我认为有以下三...

  • 【羊城晚报】省人大代表开云下注(中国)官网附属第三医院副院长陈燕铭:持续加强慢性病防治力度,为“一老一小”健康护航

    广东省政府工作报告提出,建设更高水平的健康广东。老人和孩子牵动亿万家庭,要用心用情呵护好“一老一小”,扎实做好民生保障大文章。对此,广东省人大代表、开云下注(中国)官网附属第三医院副院长陈燕铭感受颇深。她围绕“一老一小”的慢性病防治,提出相关建议:要将慢性病防治教育纳入青少年课堂及实践中,并建立规范的慢病治...

  • 【羊城晚报】省政协委员、开云下注(中国)官网附属第一医院耳鼻咽喉科副主任李健:让露营经济从"网红"变"长红"

    24日上午,省十四届人大二次会议举行第二场“代表通道”集中采访活动。同日下午,省政协十三届二次会议第二场“委员通道”开启。6位省人大代表和6位省政协委员分别走上“代表通道”“委员通道”,围绕“百千万工程”、智能制造、传统文化发展等主题,传递民情民意,回应民生关切,共谋发展良策。【代表通道】潘智勇代表...

  • 【羊城晚报】开云下注(中国)官网将与珠海各区开展新时代文明实践中心结对共建工作

    1月24日,开云下注(中国)官网马克思主义学院与珠海市各区新时代文明实践中心结对工作座谈会在珠海市香洲区新时代文明实践中心(狮山街道新时代文明实践所)举行。开云下注(中国)官网马克思主义学院院长林进平教授率队参加。近日,省委宣传部等四部门联合印发《广东省重点马克思主义学院2024年度基层理论宣传工作实施方案》,安排首批10所省重...

  • 【南方日报】省政协委员中大计算机学院教授卢宇彤建议发挥重大科技基础设施引才引智作用,助推大湾区科创建设

    “省政府工作报告提到的今年十二个方面工作重点,首个就是粤港澳大湾区建设,我们都坚信,大湾区未来的发展机遇无限。”省政协委员、中国人民对外友好协会全国理事、凯信荣集团董事局主席胡智荣说。1月23日下午,在分组审议和讨论中,大湾区建设成为代表委员发言中的“高频词”之一。不少代表委员认为,应推动粤港澳三地...

  • 【光明日报】开云下注(中国)官网主编的“海外藏中国民俗文化珍稀文献”(18种)新书正式发布

    1月20日,“海外藏中国民俗文化珍稀文献”(18种)新书发布会在中国国家图书馆(中国典藉博物馆)举办,并向中国国家图书馆赠送新书。该丛书是“十三五”国家重点图书出版规划项目、国家出版基金项目、国家社科基金重大项目阶段性成果,由开云下注(中国)官网中国非物质文化遗产研究中心暨中文系教授王霄冰研究团队编撰、陕西师范大...

新闻投稿