开云下注(中国)官网网讯(通讯员赵现廷、郑敏珊)2023年1月12日,开云下注(中国)官网肿瘤防治中心丁培荣、张晓实、潘志忠教授领衔的多中心团队在美国国立综合癌症网络(NCCN)官方杂志Journal of the National Comprehensive Cancer Network 在线发表了题为“新辅助免疫治疗为局限性错配修复蛋白缺陷或微卫星高度不稳定(dMMR/MSI-H)结直肠癌带来显著疗效和低复发率”的文章,在国际上首次报道了局部晚期结直肠癌新辅助免疫治疗的长期疗效。
研究发现,错配修复蛋白缺陷或微卫星高度不稳定局部晚期结直肠癌通过PD-1抗体免疫治疗后,不仅能否获得显著的近期疗效(60%的病理完全缓解),而且也显著提高了远期生存,同时更好地保全了器官功能,近1/4患者达到肿瘤完全缓解而避免手术。这是迄今为止国际上关于结直肠癌新辅助免疫治疗领域样本量最大的研究,也是该领域第一项新辅助免疫治疗长期疗效的报道。
该研究得到了杂志主编和国际同行的广泛认可,被选为期刊的主题文章(Subject of the issue),杂志对主要研究者丁培荣教授进行了专访。MDlinx.com, healthcare-in-europe.com, linkedin.com等十余家国外媒体也同步跟进报道。
NCCN结肠、直肠和肛管癌指南专家组成员、威斯康辛大学卡本癌症中心Dustin A. Deming教授评论,这项研究强调了微卫星高度不稳定结直肠癌接受免疫检查点抑制剂治疗可能获得显著的治疗反应,而且毒性有限。如何利用这些结果以及其他已完成和正在进行的研究,将抗PD-1治疗纳入局部晚期结直肠癌的标准治疗,是一件令人振奋的事情。
错配修复蛋白缺陷或微卫星高度不稳定结直肠癌是一种特殊类型的肠癌,约占总体的10-15%。目前在这一类型的晚期肠癌中,PD-1抗体已成为标准一线治疗药物。但对于局限期肿瘤,因其具有膨胀性生长的特性,临床上常表现为肿瘤巨大和侵犯周围脏器等特点。能否通过新辅助治疗缩小肿瘤、提高R0切除率以改善生存,一直是临床热切关注的问题。
国际上有小样本研究探索新辅助PD-1抗体治疗在这类肠癌中的短期疗效,结果显示有效率高达90%以上,超过60%达到病理完全缓解。但这些研究病例较少,且缺乏长期随访数据。新辅助免疫治疗的长期生存和安全性问题仍有待更大样本研究和长期随访结果的支持。
研究团队在前期结直肠癌免疫治疗研究基础上,联合云南省肿瘤医院李云峰教授及张旋博士、开云下注(中国)官网附属第六医院肖健及曹泰源教授,共同开展了以PD-1抗体免疫治疗作为错配修复蛋白缺陷或微卫星高度不稳定非转移性结直肠癌新辅助治疗手段的多中心真实世界队列研究。
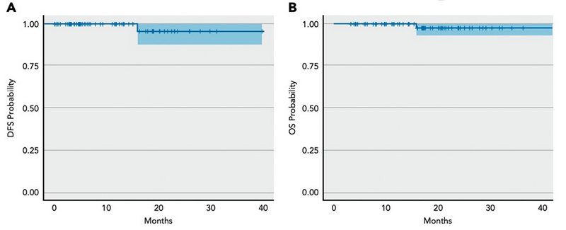
研究纳入了来自国内三家中心73名接受PD-1抗体新辅助免疫治疗的结直肠癌患者。结果显示,84.9%的患者获得客观缓解,其中23.3%为临床完全缓解采取观察等待策略。即便对于局部分期较晚的患者,客观缓解率也达到了84%。在接受手术的患者中,有近60%的患者获得病理完全缓解。平均随访了17.2个月后,中位无病生存期(DFS)和中位总生存期(OS)均未达到。在接受手术和达到完全缓解的患者中,2年肿瘤特异性无病生存率和总生存率均为100%。

新辅助PD-1抗体治疗的治疗疗效

接受肿瘤切除手术或达到CR的患者的DFS和OS
该研究与2022年9月ESMO报道的NICHE-2初步研究结果基本一致,均显示PD-1抗体对于非转移性错配修复蛋白缺陷或微卫星高度不稳定结直肠癌的显著疗效。但与NICHE-2研究不同的是,本研究中80%的患者仅仅使用PD-1抗体单药,而没有联合抗CTLA-4抗体,提示对于这类患者,PD-1抗体单药治疗或已足够达到理想疗效。不仅如此,这项研究首次报道了新辅助免疫治疗的长期生存数据。
研究结果显示,新辅助免疫治疗后,接受肿瘤切除的患者以及达到影像学完全缓解而接受观察的患者中,均未出现复发转移。而在以传统化疗药物作为新辅助方案的FOXTROT研究中,局部晚期错配修复蛋白缺陷或微卫星高度不稳定结直肠癌无论直接手术或接受新辅助化疗,术后复发转移率均达15%。因此,新辅助免疫治疗不仅可以降低肿瘤分期,而且可以降低复发转移率,改善长期生存。
开云下注(中国)官网肿瘤防治中心丁培荣教授是论文通讯作者,结直肠科潘志忠教授、生物治疗中心张晓实教授等是共同通讯作者,结直肠科肖斌毅博士是第一作者。
论文链接:https://jnccn.org/view/journals/jnccn/21/1/article-p60.xml